MOCK TEST : SET 1

COMPUTER SCIENCE

Countdown Timer

Time remaining:

SET 1 COMPUTER SCIENCE

  1. A decimal number has 30 digits. Approximately, how many digits would the binary representation have?

  2. A pipeline P operating at 400 MHz has a speedup factor of 6 and operating at 70% efficiency. How many stages are there in the pipeline?

  3. Two eight bit bytes 1100 0011 and 0100 1100 are added. What are the values of the overflow, carry and zero flags respectively, if the arithmetic unit of the CPU uses 2’s complement form?

  4. Consider a computer system with ten physical page frames. The system is provided with an access sequence a1, a2, …, a20, a1, a2, …, a20), where each ai number. The difference in the number of page faults between the last-in-first-out page replacement policy and the optimal page replacement policy is __________

  5. The cardinality of the power set of {0,1,2,3,...,10} is _______

  6. Given a flow graph with 10 nodes, 13 edges and one connected components, the number of regions and the number of predicate (decision) nodes in the flow graph will be

  7. Which speed up could be achieved according to Amdahl’s Law for infinite number of processes if 5% of a program is sequential and the remaining part is ideally parallel ?

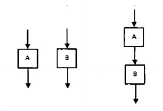
  8. The cyclomatic complexity of each of the modules A and B shown below is 10 What is the cyclomatic complexity of the sequential integration shown on the right hand side?

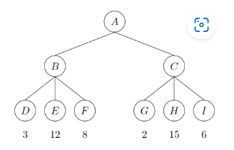
  9. Consider the following binary search tree T given below:
    Which node contains the fourth smallest element in T?

  10. Output of the following Program: #include
    int main() {
    int a = 5;
    printf("%d%d%d", a++, a++, ++a);
    }

  11. Assume that source S and destination D are connected through two intermediate routers labeled R. Determine how many times each packet has to visit the network layer and the data link layer during a transmission from S to D.

  12. Consider the following game tree in which root is a maximizing node and children are visited left to right. What nodes will be pruned by the alpha-beta pruning?

  13. The coupling between different modules of a software is categorized as follows:
    I. Content coupling
    II. Common coupling
    III. Control coupling
    IV. Stamp coupling
    V. Data coupling
    Coupling between modules can be ranked in the order of strongest (least desirable) to weakest (most desirable) as follows:

  14. How many programmable fuses are required in a PLA which takes 16 inputs and gives 8 outputs? It has to use 8 OR gates and 32 AND gates.

  15. Which of the following statement is the negation of the statement,"2 is even and -3 is negative" ?

  16. Consider the following LPP :
    Min Z = 2x1 + x2 + 3x3
    Subject to :
    x1 - 2x2 + x3 ≥ 4
    2x1 + x2 + x3 ≤ 8
    x1 - x3 ≥ 0
    x1, x2, x3 ≥ 0
    The solution of this LPP using the Dual Simplex Method is :

  17. Suppose the time to service a page fault is on the average 10 milliseconds, while a memory access takes 1 microsecond. Then a 99.99% hit ratio results in average memory access time of

  18. Which of the following statement is true?

  19. If G is an undirected planar graph on n vertices with e edges then

  20. In an IPv4 packet, the value of HLEN is 1000 in binary. How many bytes of options are being carried by this packet?

  21. In a binary Hamming Code the number of check digits is r then number of message digits is equal to:

  22. Using the RSA public key crypto system, if p=13, q=31 and d=7, then the value of e is

  23. Consider the undirected graph below:

    Using Prim’s algorithm to construct a minimum spanning tree starting with node a, which one of the following sequences of edges represents a possible order in which the edges would be added to construct the minimum spanning tree?

  24. Match the following :
    I.   2 NF (a) transitive dependencies eliminated
    II.  3 NF (b) multivalued attribute removed
    III. 4 NF (c) contain no partial functional dependencies
    IV. 5 NF (d) contains no join dependency

              I   II   III   IV

  25. Choose the correct answer from the options given below:

    Choose the correct answer from the options given below: